연구•산업 동향

[특허 기고_유정민] 선택발명의 특허 요건

  • 2015.08.02
  • 1,889
선택발명의 특허 요건
유정민. 변리사, 특허법인 다나

I. 선택발명의 정의
선택발명이란, 공지된 화합물 그룹(상위개념) 중에서 언급되지 않은 것(하위개념)을 “선택”한 발명을 말한다.
 
II. 선택발명의 특허 요건
1. 신규성 요건
선택한 발명이 선행발명에 구체적으로 개시되어 있다면 신규성이 부정된다. 선행문헌에 선택발명에 대한 문언적인 기재가 존재하는 경우 외에도, 통상의 기술자가 선행문헌의 기재 내용과 출원시의 기술 상식에 기초하여 선행문헌으로부터 직접적으로 선택발명의 존재를 인식할 수 있다면, 선택발명은 신규성이 없다.
 
2. 진보성 요건
공지기술로부터 실험적으로 최적(最適) 또는 호적(好適)한 것을 선택하는 것은 일반적으로 통상의 기술자의 통상의 창작능력의 발휘에 해당하여 진보성이 인정되지 않는다. 다만, 선택발명이 인용발명에 비하여 더 나은 효과를 가질 경우에는 그 선택발명은 진보성이 인정될 수 있다. 이 때, 선택발명에 포함되는 하위개념들 모두가 인용발명이 갖는 효과와 질적으로 다른 효과를 갖고 있거나, 질적인 차이가 없더라도 양적으로 현저한 차이가 있어야 한다.
 
3. 명세서 기재 요건
선택발명의 발명의 상세한 설명에는 인용발명에 비하여 우수한 효과가 있음을 명확히 기재하면 충분하고, 그 효과의 현저함을 구체적으로 확인할 수 있는 비교 실험자료까지 기재하여야 하는 것은 아니다. 만일 그 효과가 의심스러워 진보성이 인정되지 않는다는 이유로 거절이유가 통지된 때에는, 출원인이 비교 실험자료를 제출하는 등의 방법에 의하여 그 효과를 구체적으로 주장, 입증할 수 있다.

예를 들면, 출원발명과 인용발명(선행기술)은 모두 중추신경계 퇴행성 질환의 치료에 사용되는 것으로 신경 보호작용을 하는 화합물에 관한 것이다. 출원발명은 인용발명이 직접적으로 기재하지 않은 하위개념 상의 화합물을 선택한 발명인 경우, 그 선택에 따라 출원발명의 경구 활성이 10배 정도 우수한 효과(명세서에 명확히 기재되어 있는 효과)를 발휘하게 되었다면 효과의 현저성이 인정되어 진보성은 긍정된다.
 
III. 구체 사례
1. 선택발명의 신규성을 인정하고 진보성은 부정한 사례
▶ 특허법원 2010.8.12. 선고 2009허8973
♦ 특허출원 제2003-7002652호

 발명 내용 (선택적 안드로겐 수용체 조절제 및 이들의 사용 방법)
[청구항 26] 아래 기재된 구조식 III을 가지는 화합물:
구조식 III
 
(상기 식에서, X는 O이고; Z는 NO2, CN, COR 또는 CONHR이고; Y는 I, CF3, Br,
Cl 또는 Sn(R)3이고; R은 알킬기 또는 OH이고; Q는 아세트아미도 또는 트리플루오
로아세트아미도임.)
 
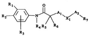
 비교대상발명
하기  <화학식 I>의 화합물:
 <화학식 I>

(R1, R2, R3는 동일하거나 상이한 것으로서 H, NO2, CN, 할로겐 등이고, R4는 H, 알킬 등이며, R5는 H, OH, 알콕시, 알킬 등이고, R6는 H, 알킬 등이며, A1, A2는 동일하거나 상이한 것으로서 직접 연결되거나 알킬렌이고, X1은 할로겐, O, S 등이 며, R7은 H, 할로겐, 알콕시, 아실아미도그룹으로 치환된 페닐, 할로겐으로 치환된 페닐 등이다.)
 
비교대상발명에서 하기 화합물을 바람직한 화합물로 예시:
 
주요 쟁점
비교대상발명이 선택발명에 해당하는 이 사건 청구항 제26항의 발명을 구체적으로 개시하고 있는지가 문제된 사안
 
판결 내용
(판단 기준) 선행 또는 공지의 발명에 구성요건이 상위개념으로 기재되어 있고 위 상위개념에 포함되는 하위개념만을 구성요건 중의 전부 또는 일부로 하는 이른바 선택발명은, 첫째, 선행발명이 선택발명을 구성하는 하위개념을 구체적으로 개시하지 않고 있어서 신규성이 인정되고, 둘째, 선택발명에 포함되는 하위개념들 모두가 선행발명이 갖는 효과와 질적으로 다른 효과를 갖고 있거나, 질적인 차이가 없더라도 양적으로 현저한 차이가 있어서 진보성이 인정되는 경우에 특허를 받을 수 있는데, 이와 같은 선택발명의 진보성 판단시 고려대상이 되는 효과는 선택발명의 상세한 설명에 질적인 차이를 확인할 수 있는 구체적인 내용이나 양적으로 현저한 차이가 있음을 확인할 수 있는 정량적 기재를 통해서 통상의 기술자가 선택발명으로서의 효과를 이해할 수 있을 정도로 명확하게 기재되어 있는 효과이다.

(사안의 적용)
신규성 인정
비교대상발명이 선택발명인 이 사건 제26항 발명을 구체적으로 개시하고 있는지 여부를 살펴보면, 마쿠쉬(Markush)1 타입으로 기재된 화학식(I) 화합물인 비교대상발명은 치환기 R1은 할로겐(I, Br, Cl), R2는 NO2 또는 CN, R3 및 R4는 H, R5는 OH, R6는 메틸, A1은 메틸렌, A2는 직접 연결, X1은 할로겐, O, S 등, R7은 아실아미도그룹으로 치환된 페닐인 조합으로 이루어진 화합물로서, 치환기 X가 O인 이 사건 제26항 발명의 구조식 Ⅲ 화합물의 상위개념의 화합물에 해당한다. 그런데 비교대상발명은 구체적인 실시예로 C-1 내지 C-15를 개시하고 있으나, 화학구조가 이 사건 제26항 발명과 가장 가까운 화합물인 화합물 C-8조차도 이 사건 제26항 발명의 구조식 III 화합물의 -O-가교 대신 -S-가교를 포함하고 있는 점에서 차이가 있다. 따라서 선택발명인 이사건 제26항 발명의 구조식 III 화합물은 비교대상발명에 구체적으로 개시되어 있지 아니하므로 신규성이 있다.
진보성 부정

이 사건 출원발명이 속하는 기술분야에서 안드로겐 수용체 효능제인 스테로이드는 남성생식기관 등에 대한 안드로겐 활성과 근육 등에 대한 동화 활성을 모두 나타내고, 두 활성의 상대적 비율에 따라 기대되는 임상적 효과가 다르다는 것은 주지되어 있다. 그러므로 통상의 기술자라면 비교대상발명에 기재된 안드로겐 수용체에 결합하여 효능제 활성을 나타내는 다양한 비스테로이드성 화합물 중에서도 근육에 대한 조직 선택성이 높아 안드로겐 활성에 비하여 동화 활성이 우수한 화합물을 이용함이 유리하다는 것을 자명하게 알 수 있다고 할 것이다. 따라서, 이 사건 제26항 발명의 화합물은 비교대상발명의 것에 비하여 질적으로 다른 효과를 나타낸다고 할 수 없다.

이 사건 제26항 발명이 선택발명으로서 진보성이 있기 위해서는 하위개념에 해당되는 이 사건 제26항 발명의 화합물들 모두가 비교대상발명의 것에 비하여 현저히 차이가 나는 SARM으로서의 효과를 나타낸다는 것이 입증되어야 하는데, SARM-B 이외의 이사건 제26항 발명의 다른 모든 화합물에서도 비교대상발명의 것에 비하여 현저한 효과가 있음을 인정할 수 있는 자료가 없으므로, 위 실험결과만으로 이 사건 제26항 발명의 화합물 모두가 비교대상발명의 것에 비하여 그 효과에서 현저히 차이가 난다고 할 수도 없다.

시사점
상기 판결은, 마쿠쉬 타입으로 기재된 화합물의 구조가 비교대상발명과 상이하여 신규하더라도, 상기 구성의 차이로 인해 비교대상발명에 비해 질적으로 다른 효과가 있거나, 상기 화합물 모두가 양적으로 현저한 효과의 차이가 있어야 화합물의 진보성을 인정할 수 있다고 판시하였다. 따라서 마쿠쉬 타입으로 기재된 화합물의 경우, 상기 화학식에 포함되는 모든 화합물이 인용발명에 비해 현저한 효과의 차이가 있어야 진보성이 인정된다.
 
2. 선택발명에 있어서, 부작용의 감소를 이질적 효과로 인정한 사례
▶ 대법원 2012. 8. 23. 선고 2010후3424
특허출원 제1991-0006544호

발명 내용
[청구항 2] 2-메틸-10-(4-메틸-1-피페라지닐)-4H-티에노[2,3-b][1,5]벤조디아제핀 (올란자핀).

주요 쟁점
부작용 감소가 이질적 효과에 해당하는지가 문제된 사안

판결 내용
(판단기준)
선택발명에 여러 효과가 있는 경우에 선행발명에 비하여 이질적이거나 양적으로 현저한 효과를 갖는다고 하기 위해서는 선택발명의 모든 종류의 효과가 아니라 그 중 일부라도 선행발명에 비하여 그러한 효과를 갖는다고 인정되면 충분하다.
(사안의 적용)
올란자핀은 여러 효과들 중에서 에틸올란자핀과 비교하여 콜레스테롤 증가 부작용 감소라는 이질적인 효과를 갖고 있음이 인정되므로, 이 사건 제2항 발명은 비교대상발명 1에 의하여 그 진보성이 부정되지 아니한다.

 시사점
상기 판결은, 선택발명에 여러 효과가 있는 경우에 선택발명의 모든 종류의 효과가 아니라 그 중 일부, 특히 부작용의 감소와 같은 효과도 선행발명에 비하여 이질적이거나 양적으로 현저한 효과를 갖는다고 인정되면 충분하다고 판시하였다. 따라서, 선택발명에서는 모든 종류의 효과가 아니라 그 중 일부의 효과라도 선행발명에 비하여 이질적이거나 양적으로 현저한 효과를 갖는다면 진보성을 인정할 수 있다.
 
IV. 결론
이번 호에서는 선택발명의 특허 요건에 대해 살펴보았다. 선택발명은 제약 분야에서 많이 이용하고 있다. 최초의 오리지널 특허의 특허가 만료되기 전에, 오리지널 특허의 각 구성요소의 하위 개념에 속하는 세부 구성요소에 대해 선택발명으로 특허권을 확보함으로써 특허 보호 기간을 연장할 수 있다.

그러나 앞서 살펴본 바와 같이, 선택발명은 선행문헌에 구체적으로 개시되어 있지 않아야 하고, 선행문헌에 기재된 발명보다 효과가 매우 우수하거나 이질적이어야 한다. 따라서 선택발명에 대한 특허를 준비할 때에는 선행문헌을 면밀히 살펴보고 선행문헌에 구체적으로 개시되지 않은 화합물을 선택한 다음, 그 효과의 우수성(또는 이질성)을 증명하는 데이터를 발명의 상세한 설명에 충분히 기재하여야 한다.
 
[1] 마쿠쉬 타입 청구범위 기재 사례 : 1개 이상의 비시클로-오르토에스테르기 또는 스피로-오르토에 스테르기를 함유하는 제1 화합물을 포함하는 코팅 조성물로서, 상기 코팅 조성물은 이소시아네이트기, 에폭시기, 아세탈기 및 알콕시실란기로 이루어진 군으로부터 선택되는 2개 이상의 히드록실 -반응성기를 함유하는 제2 화합물을 포함하는 것을 특징으로 하는 코팅 조성물.